TRAWAJA ZAPISY NA ZAJĘCIA GRUPOWEJ I INDYWIDUALNEJ NAUKI PŁYWANIA.
Pozostały ostatnie wolne miejsca w grupach i ostatnie wolne terminy na zajęcia indywidualne:
Jak zapisać dziecko?
- Wybierz poziom grupy. ( grafika poniżej).
- Wypełnił formularz zgłoszeniowy zapisy online.( link poniżej).
- Jeżeli na wybrany poziom nie ma wolnego miejsca, proszę zapisać dziecko na listę oczekujących na wolne miejsca.
Pomocne linki:
Link do listy oczekujących na wolne miejsce w grupie.
Jak zgłosić nieobecność i zapisać dziecko na odrabianie zajęć ?
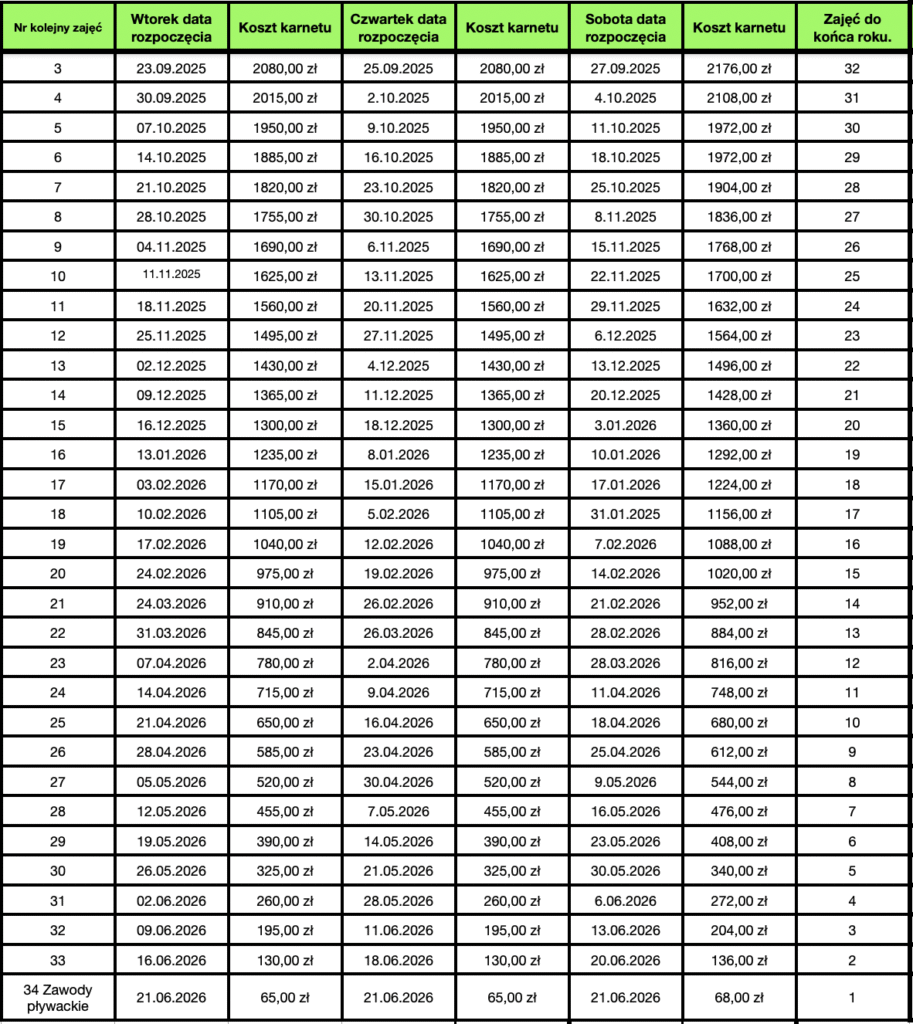
Poniżej plan zajęć, opis grup oraz kalendarz i ceny karnetów.
Zajęcia indywidualne:
Koszt zajęć: 1 os. 105 zł, 2 os. 125 zł, 3 os. 145 zł do ceny lekcji należy doliczyć wstęp na basen zgodnie z cennikiem pływalni.
Zajęcia odbywają się w:
– środy 14-20 Trener Maciej
– piątki 14-20 i w niedzielę 8-14 Trener Marek



FAQ - Najczęściej zadawane pytania
Pod marką Akademia Pływania zajęcia prowadzimy od 2012 roku, natomist doświadczenie zatrudnionych w Akademii Pływania trenerów sięga od kilkunastu do nawet klikudziesięciu lat.
Zapraszamy na jedną 30 minutową lekcje dla rodzica z dzieckiem, podczas której trener pokaże najskuteczniejsze zabawy i ćwiczenia oswajające z wodą. Pamiętaj, że żaden trener nie oswoi z wodą Twojego dziecka lepiej od Ciebie.
Klapki, ręcznik lub szlafrok oraz czepek. W grupach P1 i P2/G zachęcamy do nauki pływania bez okularków.
Tak, podczas pływania pracują wszystkie grupy mięsniowe. Systematyczne ich wzmacnianie pomoże Twojemu dziecku uzyskać prawidłową sylwetkę.
Tak, ale tylko w bardzo zaawansowanych wadach postawy. Mniej zaawansowane wady korygowane są podczas każdego treningu pływackiego.
Tak, zajęcia prowadzi pan Marek, trener pływania klasy II, mgr wychowania fizycznego i mgr fizjoterapii z 50 letnim doświadczeniem zawodowym.
Warto wybrać doświadczona firmę, która zatrudnia wykwalifikowanych trenerów oraz zasięgnąć opinii znajomych, którzy już wybrali szkołę pływania dla swoich dzieci.
Opinie naszych klientów




Napisz do nas !
This is Modal Title
